
Geoestatística no R – Lição 33: Krigagem Ordinária
Siga o passo-a-passo e entenda Geoestatística no R:
Neste tutorial, vamos ilustrar passo a passo como aplicar a krigagem ordinária. Como já vimos anteriormente, o uso do variograma é a base da análise geoestatística, o qual é uma medida da variância em função da distância.
O que é Krigagem?
Após a análise geoestatística onde o variograma experimental é calculado e ajustado, o próximo passo será o cálculo das estimativas por diferentes técnicas de interpoladores não enviesados.
- Krigagem Simples (KS): média conhecida
- Krigagem Ordinária (KO): média desconhecida
- Krigagem Universal (KU):
- Entre outros.
A krigragem é uma técnica de interpolação que consiste em métodos geoestatísticos para a estimativa de pontos, que utiliza o modelo variograma como objetivo de estimar pontos nao amostrados. Os valores estimados são uma combinação linear dos valores de entrada.
Etapas da Krigagem
Krigagem é um processo que tem várias etapas:

O que é krigagem ordinária (ordinary kriging)?
Uma das principais propriedades da krigagem ordinária é a precisão local das estimativas, mas com perda de precisão global. A estimativa local busca estimar o valor da variável regionalizada na região estudada.
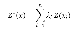
Quando desejamos estimar um valor Z*(x) em (x), usando os valores dos dados Z(xi) de n pontos de amostra vizinhos xi e combinando-os linearmente com pesos λi , o estimador para Z*(x) é obtido da combinação linear dos dados:

Onde:
Z*(x) – Valor a estimar;
λi -Peso que é dado a cada um dos valores observados da variável no lugar X;
Z(xi) – Valor em pontos amostrados perto do local a ser interpolado;
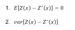
Os pesos são calculados de tal forma que o estimador seja não viciado e tenha a minima variancia do erro:

Função krige do gstat
Krige é a função que cria os diferentes tipos de krigagem, como a krigagem ordinária, a krigagem simples, a krigagem universal, e a krigagem indicadora. A tabela a seguir mostra a estrutura que o krige prevê para o desenvolvimento de diferentes tipos de krigagem:

Ilustramos o variograma experimental e o ajuste do variograma como. já foi. visto anteriormente.


Usando os argumentos locations = jura.pred, newdata = jura.grid,model = fit.v , a krigagem ordinária é criada. A função spplot será usada para projetar o gráfico da predição e a variância do erro da K.O.

Série de tutoriais: Geoestatística no R – veja a lista
Lição 2 – Objetos e estruturas
Lição 3 – Leitura e gravação de dados
Lição 4 – Estrutura gráfica em R
Lição 5 – Uso dos gráficos no R
Lição 7 – Análises descritivas dos dados
Lição 8 – Distribuições discretas
Lição 9 – Distribuições contínuas
Lição 11 – ggplot2 (histograma)
Lição 13 – ggplot2 (scatterplot)
Lição 15 – ggplot2 (série temporal)
Lição 16 – ggplot2 (diagrama de área)
Lição 17 – ggplot2 (diagrama circular)
Lição 22 – Fenômeno isotrópico
Lição 23 – Modelos teóricos de variogramas
Lição 24 – Fenômeno isotrópico ou anisotrópico?
Lição 25 – Ajuste do variograma experimental com anisotropia
Lição 26 – Ajuste do variograma experimental omnidirecional
Lição 28 – Ajuste do variograma experimental com GeoR
Quer aprender a fazer krigagem ordinária? Faça o Curso Geo101
Aprenda mais sobre Geoestatística com a Geokrigagem:




