
Geoestatística no R – Lição 12: ggplot2 (boxplot)
Nesta segunda lição do pacote ggplot2, mostraremos como criar um boxplot no r (diagrama de caixa). Esta é uma ferramenta gráfica comumente usada na estatística descritiva na análises exploratória dos dados. O diagrama de caixa, ou box-plot, permite realizar análises mais detalhada em uma variável numérica por meio de quartis. Além disso, o gráfico de caixa oferece informações da distribuição como valores atípicos e valores extremos, entre outros.
Neste tutorial, como no anterior, utilizaremos o banco de dados jura, onde ilustraremos em vários exemplos, os diversos argumentos na personalização de um gráfico de caixa.
Como fazer boxplot básico
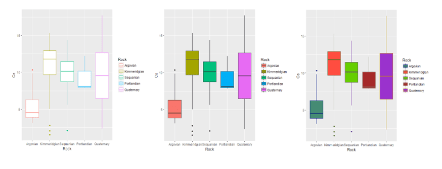
O primeiro passo será criar um boxplot básico usando a função geom_boxplot(), usando as mesmas variáveis do tutorial anterior (rock e co), examinando nesta primeira seção as propriedades como: alterar a cor da borda da caixa, a mudança de cor e o tamanho dos outliers.

Como mudar cores do gráfico
Usualmente é necessário definir uma escala de cor para representar uma variável e/ou atributo, a qual permita diferenciar as diferentes informações em um banco de dados. Dessa forma, nesta seção utilizaremos a função scale que permite alterar manualmente a paleta de cores para sua preferência:


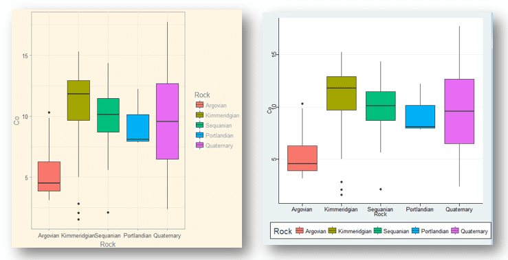
Como alterar a cor de fundo do gráfico
A função theme tem muitos usos. Na primeira lição de ggplot2 personalizamos a fonte do tema e as linhas da malha do gráfico. Nesta lição será usada para mudar a cor do gráfico, mas não o panel. Sera usada, também, para a alteração completa do plano gráfico, utilizando os pacotes grid e ggthemes, em uma única cor.


O que é a Função geom_jitter ().
O gráfico de caixa permite superpor todos os pontos com a função geom_jitter(). Neste exemplo, usaremos vários comandos que permitem ao usuário personalizar o gráfico, como se mostra a seguir:





