
Geoestatística no R – Lição 14: ggplot2(qq-plot)
O que é um gráfico Q-Q
Um gráfico quantile-quantile (Gráfico Q-Q) permite relacionar a distribuição de um conjunto de dados com o de outro conjunto de dados. Um gráfico Q-Q plot é um gráfico dos quantiles da distribuição empírica versus os quantiles da distribuição teórica. Em nosso décimo quarto tutorial, vamos ilustrar que o ggplot2 fornece duas maneiras de produzir os objetos para fazer o gráfico:
- qplot () esconde o que está por baixo, o que está certo para a maioria das operações.
- ggplot () é a função principal e muito flexível para fazer coisas que qplot () não pode fazer.
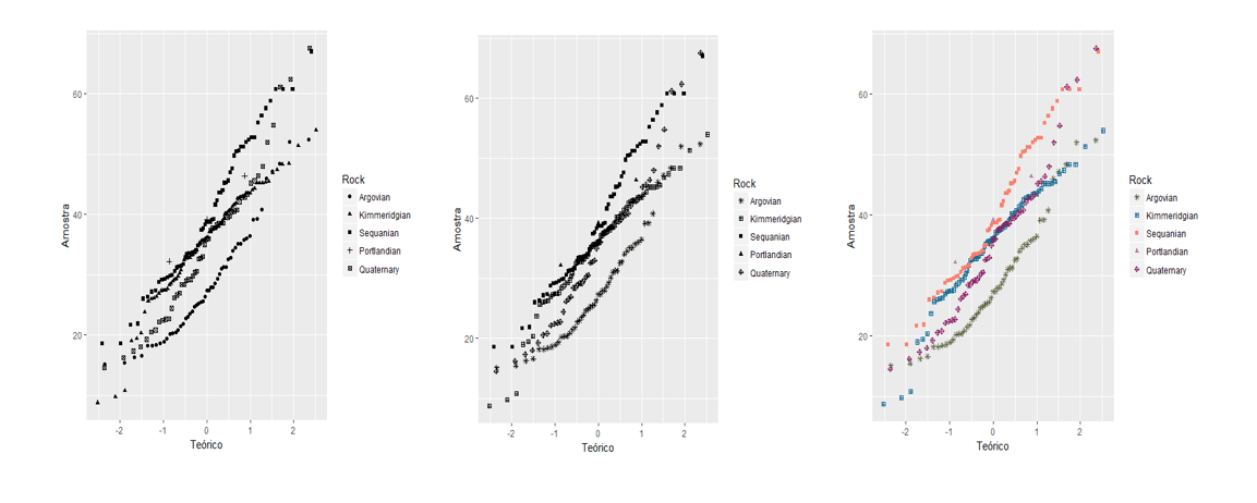
No nosso exemplo a seguir, usamos a variável Cromo (“Cr”) dos dados jura. O gráfico será projetado usando as duas funções que ggplot2 fornece: stat_qq () e qplot ():


Usando o q-plot para modificar a cor e a forma dos pontos
Lembre-se de que o ggplot2 descreve como alterar as formas dos pontos de um gráfico. Estes são controlados automaticamente pela variável “Rock” dos dados jura. A função scale_shape_manual modifica os pontos do gráfico. Da mesma forma, é possível alterar manualmente as cores do q-plot usando as funções:
scale_color_manual (): para usar cores personalizadas
scale_color_grey (): use paletas cinza
scale_color_brewer (): paleta de cores
A função ggplot é deixada ao leitor para gerar os mesmos gráficos.


Facets
A função facets divide o gráfico em uma matriz de painéis. Cada painel é dividido por níveis do grupo Rock (tipo de rocha). Na lição anterior, ilustramos a divisão na direção vertical, agora vamos mostrar a divisão dos painéis na sentido horizontal. Em nosso exemplo colocamos a variável “Rock” no lado direito para indicar que queremos uma coluna para cada classe de unidade.

Usando facet_grid
O comando facet_grid () executa a mesma função de dividir o gráfico em uma matriz de painéis. no exemplo a seguir, vamos ilustrar o argumento facet com as variáveis “Landuse” e “Rock”. O gráfico será dividido pelos níveis das duas variáveis:


Utilizando theme()
A função theme() modifica a fonte do tema e a borda do retângulo do gráfico da seguinte maneira:







