Neste tutorial sobre variogramas, mostraremos alguns modelos matemáticos que permitem caracterizar a continuidade espacial de uma variável regionalizada ou função aleatória. Estes modelos matemáticos são utilizados no ajuste do variograma experimental. Em seguida, daremos alguns exemplos das funções mais utilizadas na prática, exemplificando as diferentes situações por meio dos gráficos da variável regionalizada (mapa da variável regionalizada) e seu respectivo modelo de variograma.
Efeito Nugget ou Pepita
Este modelo representa um fenômeno totalmente aleatório com ausência total de correlação espacial. Formalmente, pode ser definido como:


Modelo esférico
O modelo esférico tem um comportamento linear próximo da origem que representa fenômenos contínuos, mas não diferenciáveis, e é um dos modelos matemáticos mais usados. A amplitude na prática é aproximadamente igual a a.
O modelo esférico é representado pela seguinte equação:

Modelo Gaussiano
O variograma Gaussiano apresenta um comportamento parabólico próximo da origem e representa fenômenos extremamente contínuos. A amplitude na prática é aproximadamente igual a a√3 e alcança um patamar c0+c de forma assintótica. O modelo Gaussiano possui a seguinte equação:

Modelo exponencial
O variograma exponencial mostra um comportamento linear na origem e alcança um patamar c0+c assintoticamente. Deve-se ter em consideração que o alcance experimental na prática é aproximadamente igual a 3a . Este modelo tem como expressão matemática a seguinte equação:

Modelo linear
O modelo linear não tem patamar e não possui amplitude. Este tipo de modelo representa fenômenos mais heterogêneos. O modelo linear está representado pela seguinte equação:

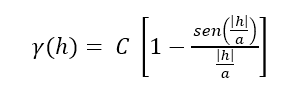
Modelo seno cardinal
O modelo seno cardinal, que apresenta flutuações, é usado para representar fenômenos contínuos com periodicidades. Este modelo é um membro dos modelos chamados Hole Effect. A amplitude na prática é igual a 20,37*a e é definido pela seguinte equação:

Quer saber mais sobre Geoestatística? Confira este treinamento:

Série de tutoriais: Geoestatística no R – veja a lista
Lição 2 – Objetos e estruturas
Lição 3 – Leitura e gravação de dados
Lição 4 – Estrutura gráfica em R
Lição 5 – Uso dos gráficos no R
Lição 7 – Análises descritivas dos dados
Lição 8 – Distribuições discretas
Lição 9 – Distribuições contínuas
Lição 11 – ggplot2 (histograma)
Lição 13 – ggplot2 (scatterplot)
Lição 15 – ggplot2 (série temporal)
Lição 16 – ggplot2 (diagrama de área)
Lição 17 – ggplot2 (diagrama circular)
Lição 22 – Fenômeno isotrópico
•Lição 23 – Modelos teóricos de variogramas
Lição 24 – Fenômeno isotrópico ou anisotrópico?
Lição 25 – Ajuste do variograma experimental com anisotropia
Lição 26 – Ajuste do variograma experimental omnidirecional
Lição 28 – Ajuste do variograma experimental com GeoR


Deixe um comentário
Você precisa fazer o login para publicar um comentário.