
Fórmula para as Prestações do SAC em R
Em continuidade ao artigo anterior que tratou da tabela SAC para o financiamento de um bem, vamos analisar graficamente os valores de juros e prestações obtidos no exemplo usado, bem como derivar uma fórmula simples para o cálculo dos juros e prestações.
Considerando a mesma notação empregada na calculadora financeira HP 12C, define-se:
- n é o prazo de financiamento;
- i é a taxa de juros (na HP 12C, deve-se multiplicar por 100);
- PV é o valor presente (valor do empréstimo);
- PMT é o valor da prestação mensal.
O valor da prestação mensal é obtido pela composição de juros e amortização.

Assim, para o exemplo usado no artigo anterior, tem-se:
- n = 120
- i = 0,0056541
- PV = 120000,00
Os dados desse financiamento foram salvos em arquivo sac.csv, conforme o script SAC.R. A leitura deste arquivo é feita no Script SAC_regress.R, que é fornecido com este artigo.

Nas linhas 4-5, recupera-se os valores de juros e das prestações mensais. A função plot() é chamada nas linhas 8-10 para geração de uma área de plotagem. Os valores dos juros e das prestações são representados nas linhas 11-12, por meio da função points(). O resultado da representação gráfica se encontra na Figura 1.

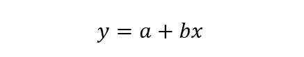
As retas obtidas mostram uma relação linear negativa a uma taxa constante. Observe-se que as duas retas são paralelas. Tendo em vista a relação linear, pode-se determinar os coeficientes das retas de regressão, que pode ser feito em R com o uso da função lm(), conforme as linhas 13 e 23. Os coeficientes aplicados na reta de regressão podem ser usados para se calcular os juros ou as prestações, de acordo com a equação:

Nesta equação, a é o intercepto (valor no eixo y, quando x é zero) e b o coeficiente angular da reta ou a taxa de variação. Os coeficientes obtidos tanto para os juros como para as prestações são listados na Tabela 1.
| Variável | Intercepto | Taxa de variação |
| Prestação | 1684,152 | -5,654 |
| Juros | 684,152 | -5,654 |
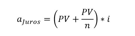
Com relação aos interceptos, verifica-se que a diferença é igual ao valor da amortização mensal (R$ 1000,00). Os interceptos correspondem aos valores no mês zero. A taxa de variação nada mais é que a amortização multiplicada pela taxa de juros mensal, com o sinal trocado. Pode-se calcular o intercepto da reta dos juros como:

A taxa de variação b é simplesmente:

O intercepto da reta das prestações é:

Se o Leitor fizer as contas, irá verificar que existe uma pequena diferença de 0,006 devido aos arredondamentos (juros e prestações foram salvos no arquivo sac.csv com apenas duas decimais).
Assim, para se calcular o valor dos juros ou da prestação em um determinado mês basta aplicar a fórmula:

Por exemplo, para o décimo mês do financiamento, tem-se:

Dessa forma, pode-se calcular a prestação para qualquer mês dentro do prazo de financiamento. Este artigo mostrou novamente como o conhecimento de uma linguagem de programação pode ser útil para resolver cálculos em matemática financeira.
Obs.: Lembrando que o script utilizado pode ser visualizado e baixado
Próximo artigo
No artigo seguinte, mostraremos como uma amortização extra pode alterar o prazo ou as prestações.



