Geoestatística e Scripts em R

Você já teve a curiosidade de saber como se calcula uma Tabela Price para financiamento de um bem por um determinado prazo, conforme uma taxa de juros estabelecida em contrato?

O objetivo deste artigo é fazer uma descrição sucinta das fórmulas usadas no cálculo da Tabela Price e sua codificação em linguagem R.

Para fins de definição das variáveis, vamos usar a mesma notação empregada na calculadora financeira HP 12C:

  • n é o prazo de financiamento;
  • i é a taxa de juros (na HP 12C, deve-se multiplicar por 100);
  • PV é o valor presente (valor do empréstimo);
  • PMT é o valor da prestação mensal.

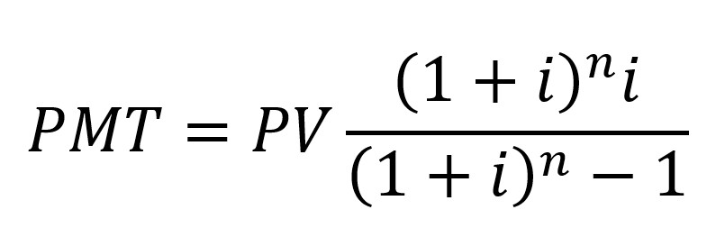
A conhecida fórmula e de domínio público para se calcular a prestação mensal (PMT) é:

Por exemplo, toma-se um empréstimo de R$ 120.000,00 para ser pago em 10 anos com uma taxa de juros de 7% ao ano. A taxa de juros anual é convertida em uma taxa mensal, como segue:

O valor do pagamento (PMT) que é igual à soma dos juros e amortização fica:

O valor da prestação mensal é acrescido de seguro, que varia conforme a faixa etária do interessado, e da taxa administrativa. O pagamento mensal (PMT) corresponde aos juros e à amortização:

 No sistema Price, o valor de PMT permanece constante durante todo o financiamento. Os juros são calculados sobre o saldo devedor. Assim, no primeiro mês, os juros ficam:

Dessa forma, a amortização fica:

Após o pagamento da primeira prestação, o saldo devedor é igual a:

No segundo mês, o PMT é o mesmo, mas os juros calculados sobre o saldo devedor são menores que no primeiro mês, fazendo com que aumente a amortização. Dessa forma, tem-se os juros no 2º mês:

E a amortização:

O saldo devedor após o pagamento da 2ª prestação é igual a:

E assim, sucessivamente, calcula-se os valores mensais dos juros e da amortização. Ao final do contrato (120 meses, no exemplo), a soma das amortizações será exatamente igual ao valor do empréstimo. Todos os cálculos efetuados foram confirmados na calculadora HP 12C.

Feito isso, podemos passar à codificação do script para o cálculo da Tabela Price, conforme o script Price_PMT.R. A execução desse script apresenta no console os resultados a seguir:

Na linha 11, tem-se o PMT calculado igual a R$ 1380,04. A Tabela Price com os valores de juros, amortização e saldo devedor estão entre as linhas 22 a 33, onde apenas os primeiros e os últimos cinco meses estão listados. Observar que a soma de juros e da amortização é sempre constante e igual ao PMT. Lembrando que no valor da prestação mensal se tem o seguro e a taxa de administração acrescidos.

O Leitor poderá executar esse script com os valores sugeridos ou alterando para os valores de seu interesse (linhas 2-4). Caso o Leitor tenha um financiamento em andamento e queira testar o script, sugere-se verificar a taxa de juros mensal efetiva, pois ela pode estar arredondada, causando pequenas diferenças nos resultados. Nas linhas 34-39, desenha-se o gráfico dos juros ao longo do financiamento, conforme a Figura 1.

Figura 1: Juros calculados na Tabela Price, para um financiamento de R$ 120000,00 por um prazo de 10 anos com juros anuais de 7%.

Comments

Uma resposta para “Como Calcular a Tabela Price Em R”

  1. Avatar de Bruno
    Bruno

    Olá professor,

    Obrigado pelo post, foi muito útil para mim.

    Eu financiei um imóvel recentemente e queria entender como eu poderia calcular amortizações extras no saldo devedor. Através dos dois artigos postados aqui pude entender e realizar esses cálculos.

    Fiquei em dúvida sobre o cálculo da taxa mensal de juros. Ao aplicar a fórmula descrita no post, tive uma taxa mensal um pouco menor do que a descrita no meu contrato. No meu contrato, a taxa anual era de 7,16% (0,5967%/mês). Aplicando a fórmula obtive 0,5779%. Gostaria de entender mais sobre essa diferença.

    Obrigado!

Deixe um comentário