
Gerador de Sistemas Lineares com Script em R
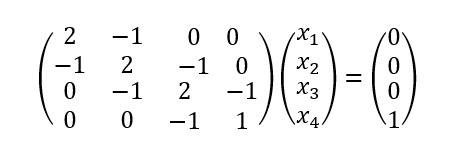
Quando se desenvolve algoritmos visando à resolução de sistemas lineares, há necessidade de se ter um exemplo de sistemas lineares para fins de teste. Existe um sistema que pode ser usado para testar qualquer método, pois qualquer que seja a dimensão do sistema, o vetor solução será conhecido de antemão. Assim, se a dimensão do sistema for igual a n, o vetor solução será x’=(1,2,…,n). Para ilustrar o sistema de equações lineares do tipo que estamos considerando, seja n=4, a dimensão do sistema. Assim, tem-se o seguinte sistema de equações lineares:

Como se pode verificar, a diagonal principal tem o valor 2, exceto o elemento a[n,n] que recebe 1. As diagonais paralelas à principal recebem o valor -1. O vetor b tem zeros, mas o elemento b[n] é igualado a um.
Script para Sistemas Lineares
Neste artigo, que foi derivado de um capítulo de Yamamoto (2020), anexa-se um script em R que permite gerar um sistema de equações lineares de qualquer dimensão.

Conforme esse script, a dimensão do sistema é 5, portanto o vetor x’=[1 2 3 4 5]. Para a resolução do sistema de equações lineares foi utilizada função solve() da biblioteca do R.
Trata-se de um sistema extremamente útil para verificação de algoritmos para resolução de sistemas lineares. Yamamoto e Landim (2013, p. 189-192) utilizaram este sistema (de autoria desconhecida) para demonstração da resolução por Cramer e triangularização de Gauss.
Referências Bibliográficas
Yamamoto, J.K., Landim, P.M.B. 2013. Geoestatística: conceitos e aplicações. São Paulo, Oficina de Textos. 215p.
Yamamoto, J.K. 2020. R na prática. São Paulo, JK Yamamoto-EIRELI. Livro em preparação.
Próximos Artigos
Em continuidade, os próximos artigos irão abordar a resolução de sistemas lineares pelos métodos de triangularização de Gauss e iterativo de Gauss Seidel.
Deixe uma resposta
Você precisa fazer o login para publicar um comentário.




1 Comentário