
Retrospectiva da Geoestatística XIV: Geoestatística Multivariada (Wackernagel, 1998)
Geoestatística Multivariada (título original: Multivariate Geostatistics, por Hans Wackernagel, 1998)
A obra
Em 1998, Hans Wackernagel publica sua segunda edição do livro intitulado “Geoestatística Multivariada”, que se encontra atualmente na terceira edição.

Capítulos
Esta obra é composta por cinco capítulos:
A. Da estatística para geoestatística;
B. Geoestatística;
C. Análise multivariada;
D. Geoestatística multivariada;
E. Geoestatística não estacionária.
Introdução
Na introdução, o autor descreve as três questões principais envolvendo a análise de fenômenos espaciais e temporais: descrição dos dados, interpretação e estimativa (Wackernagel, 1998, p. 1-2).
Com relação à descrição de dados, esse autor afirma que os dados precisam ser explorados para verificação das estruturas espacial, temporal e multivariada para identificação dos valores anômalos que a mascaram. Esse trabalho pode ser feito com um mapa da posição das amostras no espaço ou no tempo que pode ser associado com histogramas, diagramas de correlação, nuvens de variogramas e variogramas experimentais, que dão as primeiras ideias dessas estruturas.
Interpretação dos dados
A questão da interpretação é feita a partir dos gráficos obtidos anteriormente com base na experiência passada com dados similares e fatos científicos relacionadas às variáveis em estudo (Wackernagel, 1998, p. 2). Ainda segundo esse autor, a interpretação da estrutura espacial ou temporal, as associações e as relações causais entre variáveis são usadas para um modelo que é ajustado aos dados.
Segundo Wackernagel (19987, p. 2), esse modelo não apenas descreve o fenômeno nos pontos amostrais, mas geralmente é válida para toda a região amostrada e assim representa um passo além da informação contida nos dados numéricos.
Assim, a partir do modelo de variação da estrutura espacial ou temporal, o próximo passo é a estimativa dos valores do fenômeno em estudo, em várias escalas e localizações diferentes dos pontos amostrais (Wackernagel, 1998, p. 2). Conforme esse autor, as estimativas são baseadas no método dos mínimos quadrados que precisa ser adaptado para uma grande variedade de situações e problemas encontrados na prática.
Parte A – Da estatística para a Geoestatística
Na parte A, Wackernagel (1998, p. 7-12) revisa os conceitos de probabilidade e estatística; trata da questão da regressão linear e mostra a krigagem simples como uma transposição da regressão múltipla em um contexto espacial; apresenta a questão da krigagem da média ponderada, que leva em conta o conhecimento da correlação espacial das amostras. Nesta parte, Wackernagel (1998, p. 19) apresenta a equação (1) da regressão múltipla de uma variável Zo em função de N variáveis auxiliares {Zi, i=1,N}:
![]()
Onde mi* são as respectivas médias das diferentes variáveis.
Observe-se que a forma da equação (1) é muito similar à equação da krigagem simples.
Parte B – Geoestatística
A parte B é dedicada à geoestatística, propriamente dita. Wackernagel (1998, p. 39-40) define claramente uma função aleatória, bem como uma variável aleatória Z(xo) como realização de uma variável regionalizada z(xo). Assim, mostra que nesse modelo, o mecanismo aleatório Z(xo) no ponto xo da região de estudo gera realizações seguindo uma distribuição de probabilidade F (expressão 2):
![]()
Onde P é a probabilidade que uma realização de Z no ponto xo é menor ou igual que um determinado valor de z (Wackernagel, 1998, p. 41). Note-se que essa relação (2) será empregada muitas vezes em nosso livro. Interessante também apresentar o variograma de potência na forma representada na Figura 1.14 (Wackernagel, 1998, p. 51).

Parte C – Análise Multivariada
Os demais itens desta parte constituem os assuntos tratados na geoestatística. Na parte C, Wackernagel (1998, p. 127-135) revisa os conceitos de análise multivariada: análise dos componentes principais, análise canônica e análise de correspondência. Após essa revisão, o autor trata da questão da geoestatística multivariada, que constitui a parte D (Wackernagel, 1998, p. 145-196). Basicamente, o autor aborda a modelagem da correlação espacial cruzada necessária para as técnicas de cokrigagem, que serão tratadas neste livro (capítulo Y).
Parte D – Geoestatística Multivariada
Destaca-se o último item da parte D, onde é apresentada a questão da krigagem de uma variável complexa (Wackernagel, 1998, p. 187-196). Como exemplo, o autor sugere o uso de uma função aleatória complexa para modelar dados direcionais em duas dimensões:
![]()
Onde R(x) é a intensidade e Θ(x) é a direção. Uma representação alternativa (equação acima) pode ser feita como (Wackernagel, 1998, p. 187):
![]()
Onde U(x) e iV(x) são as coordenadas de um plano complexo (Figura 2).

A krigagem de uma variável complexa, com base na covariância complexa, pode ser feita, conforme (Wackernagel, 1998, p. 188):
![]()
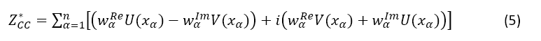
Em termos das partes real e imaginária de Z(x), a equação (4) pode ser reescrita como (Wackernagel, 1998, p. 188):
![]()
Observe-se que para implementar a krigagem complexa, é necessário modelar as covariâncias CRe(h) e CIm(h) em uma forma consistente, de tal maneira que C(h) seja uma função de covariância complexa (Wackernagel, 1998, p. 189).
Parte E – Geoestatística não estacionária
A geoestatística não estacionaria é tratada na parte E (Wackernagel, 1998, p. 199-225). Nesta parte, destaca-se a krigagem com deriva externa, conforme a equação (1.37):
![]()
Onde Z(x) é a variável primária pobremente amostrada, mas exata. Enquanto, s(x) é a variável secundária intensamente amostrada, mas imprecisa. Demais detalhes desta técnica serão apresentados no Capítulo 8.
Referência
WACKERNAGEL, H. Multivariate Geostatistics – An Introduction With Applications. Fontainebleau, Springer, 1998. 387p.
Leia a primeira resenha da série:
Retrospectiva da Geoestatística I: Tratado de Geoestatística Aplicada (Matheron)




