Zona Mineralizada e a regularização
A zona mineralizada e a regularização
Os teores de sondagens obtidos em mineralizações em veios ou depósitos estratiformes precisam ser compostos para a zona mineralizada. Nesse caso, os suportes não serão necessariamente iguais, pois a espessura pode variar de ponto a ponto.
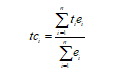
A regularização na zona mineralizada, delimitada por contatos abruptos, deve ser feita para evitar a super ou sub diluição de teores (Glacken e Snowden, 2001, p. 191). A média de teores no intervalo mineralizado pode ser ponderada pela espessura (equação 1):
(1)
Ou pela densidade aparente, conforme (Levy e West, 2001, p. 632 e Rossi e Deutsch, 2014, p. 89):
(2)
Onde, di é a densidade aparente no i-ésimo intervalo de-para.
Os dados publicados por Yamamoto e Rocha (2001, p. 46) foram usados como exemplo para a regularização na zona mineralizada (Tabela 1).

Tabela 1: Intervalos de-para do furo FSC-76 do depósito de Canoas,
Adrianópolis (segundo Yamamoto e Rocha, 2001, p. 46). Dados de Pb e Zn em (%) e Ag em ppm.

Figura 1: Regularização dos teores de Zn para a zona mineralizada,
baseada em dados de Yamamoto e Rocha (2001, p. 46-47).
Na realidade, a regularização por zona mineralizada é empregada em depósitos estratiformes, com o uso da variável serviço ou acumulação, que é resultante do produto da espessura pelo teor médio na zona mineralizada. Mas, este assunto será retomado em um futuro artigo que tratará da avaliação de recursos minerais em depósitos estratiformes.
Referências:
Glacken, I.M.; Snowden, D.V. 2001. Mineral resource estimation. In: Mineral Resources and Ore reserve Estimation – The AusIMM Guide to a Good Practice (Ed. A.C. Edwards) p. 189-198. Melbourne, The Australasian Institute of Mining and Metallurgy.
Levy, I.W.; West, R.F. 2001. Reporting of exploration results. In: Mineral Resources and Ore reserve Estimation – The AusIMM Guide to a Good Practice (Ed. A.C. Edwards) p. 631-634. Melbourne, The Australasian Institute of Mining and Metallurgy.
Rossi, M.; Deutsch, C.V. 2014. Mineral resource estimation. Dordrecht, Springer. 332p.
Yamamoto, J.K.; Rocha, M.M. 2001. Inventário e avaliação dos parâmetros geológicos e geométricos para o cálculo de reservas. In: Yamamoto, J.K. (org.) Avaliação e classificação de reservas minerais. EDUSP, São Paulo. p. 35-48.



