Nas próximas sete lições, usaremos um dos pacotes mais conhecidos e fáceis de usar de R- projeto, ggplot2. Primeiramente, o ggplot2 é usado para gerar gráficos esteticamente mais atraentes e com uma grande variedade de funções para personalizar. Nesta primeira lição de ggplot2, mostraremos as diferentes variações na geração do histograma empregado usualmente na análise exploratória de uma variável de interesse.
Como fazer um histograma básico
Para definir um gráfico de histograma com o pacote ggplot2, será usado o argumento “geom_histogram()” onde pode ser modificado por comandos como (fill) que escolhem a cor de fundo das barras, (color) a cor das linhas, (binwidth) a largura de cada barra, (linetype) altera o tipo de linha, entre outros, que veremos mais para frente. Para definir os títulos de preferencia para cada eixo e o título do gráfico é estabelecido mediante a função “labs”.


Como usar a função Scale_
Para mudar os nomes e os limites de cada um dos eixos, usamos a opção scale_x_continuous e scale_y_continuous. Além desses, existem outros argumentos que acompanham a opção de scale tais como: scale_fill_gradient para degradar as cores das barras scale_x_log10 (), scale_y_log10 () transformação dos eixos em escala logarítmica, scale_x_reverse() scale_y_reverse () inverte as coordenadas, entre outras. No nosso exemplo, será usado: scale_x_continuous, scale_y_continuous e scale_fill_gradient.




O que é a função theme()
A função theme() permite personalizar a fonte do tema, a cor de fundo e as linhas da malha do gráfico, entre outras características.


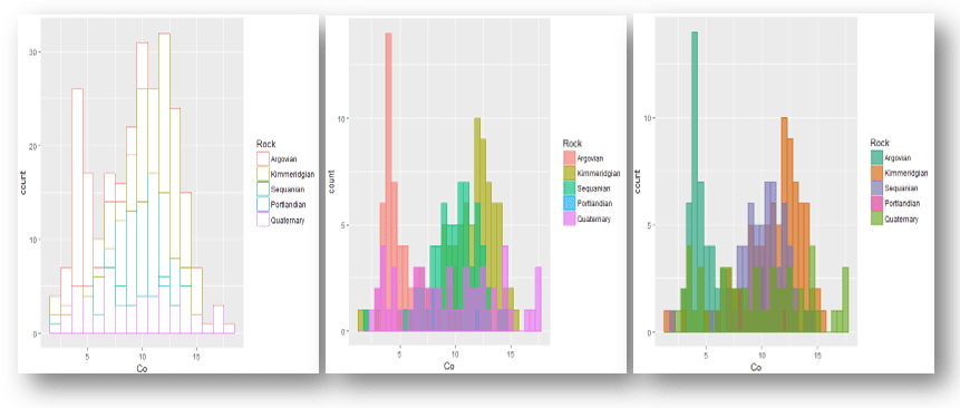
Como fazer um histograma por grupos
No exemplo a seguir, continuaremos usando a mesma variável para o eixo , mas mudaremos as cores do gráfico de histograma por grupos. Nesse sentido, usaremos a variável discreta, Rock, a qual representa o tipo de rocha. Por padrão, a legenda que aparece no lado direito do gráfico é inserida de forma automática.
Além disso, mostraremos os comandos alpha, que ainda não foram utilizados, o que reduz a tonalidade da transparência da cor. A função scale, vista na seção anterior, será usada na personalização da paleta de cores de cada tipo de rocha.




Quer aprender mais sobre as aplicações do R na Geoestatística?
Confira aqui nosso curso de Geoestatística: Fundamentos e Aplicações e aprenda muito mais desse universo.


Deixe um comentário
Você precisa fazer o login para publicar um comentário.