GSLIB – Biblioteca de Software Geoestatístico e Guia do Usuário (Deutsch e Journel, 1992)
Original: “GSLIB: Geostatistical Software Library and User’s Guide“.
Deutsch e Journel (1992) disponibilizam uma importante biblioteca de programas para geoestatística denominada GSLIB. Esta obra foi um marco na geoestatística pois, pela primeira vez, um software completo com o código fonte em Fortran 77 é publicado.
Capítulos
O livro é dividido em seis capítulos:
I) Introdução;
II) Começando;
III) Variogramas;
IV) Krigagem;
V) Simulação e
VI) Outros programas úteis.
Capítulo II: Getting Started
No Capítulo II, Deutsch e Journel (1992, p. 9-18) revisam os conceitos geoestatísticos, onde se destaca o propósito da simulação condicional que foi desenvolvida inicialmente para corrigir o efeito de suavização mostrados nos mapas produzidos pela krigagem.
Dados que são referência até hoje
Os autores disponibilizam dois conjuntos de dados (Deutsch e Journel, 1992, p. 34-37), denominados, respectivamente, true.dat e cluster.dat (Figura 1.11). O arquivo true.dat é composto por 2500 pontos distribuídos em uma malha regular de 50 por 50 nós e representa um fenômeno espacial ou a população em termos estatísticos.
Por outro lado, o arquivo cluster.dat é uma amostra extraída desta população com 140 pontos de dados. Segundo esses autores, o arquivo cluster.dat é composto por 97 pontos obtidos por amostragem estratificada e 43 pontos amostrados em torno das regiões de altos valores como identificadas pelos 97 pontos iniciais.
Esses dados foram utilizados por muitos autores para publicação de seus artigos, devido à credibilidade e confiabilidade dos conjuntos de dados. Por exemplo, Yamamoto (2000, p. xx) usou esses dados para ilustrar o procedimento de cálculo da variância de interpolação.

Capítulo III: Variograms
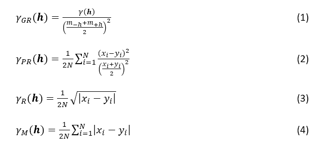
O capítulo III trata da questão de cálculo de variogramas, bem como outras medidas de variabilidade e continuidade espaciais, quais sejam: semivariograma, semivariograma cruzado, covariância, correlograma, semivariograma geral relativo (1), semivariograma relativo pareado (2), semivariograma dos logaritmos, semirodograma (3), semimadograma (4) e semivariograma da indicadora. Tendo em vista que nem todos os tipos serão abordados neste livro, alguns serão destacados a seguir:

As rotinas para cálculo dos variogramas estão disponíveis (Deutsch e Journel, 1992, p. 43-55), por meio dos programas denominados gam2 e gam3 (para dados regulares) e gamv2 e gamv3 (para dados irregulares). Segundo Deutsch e Journel (1992, p. 55), um bom entendimento do arranjo espacial dos dados é essencial para a escolha dos parâmetros para cálculo dos variogramas experimentais, que são fundamentalmente a direção e distância.
Capítulo IV: Kriging
O Capítulo IV apresenta as técnicas de krigagem, incluindo a simples, ordinária, com modelo de tendência, com deriva externa e fatorial. Segundo Deutsch e Journel (1992, p. 64), a krigagem ordinária tem sido e permanecerá o algoritmo âncora da geoestatística. Além disso, os autores abordam a cokrigagem, inclusive a cokrigagem colocalizada, bem como a krigagem não linear: lognormal, multiGaussiana, indicadora e disjuntiva. Cabe destacar aqui, a expressão usada para transformada reversa da krigagem lognormal (Deutsch e Journel, 1992, p. 72):
![]()
Onde é a variância de krigagem lognormal simples. Segundo esses autores, a exponenciação envolvida em (5) é particularmente delicada, pois qualquer erro no processo de estimativa tanto da estimativa ou da sua variância pode ser potencializado nessa operação.
Capítulo V: Simulation
A simulação é tratada no Capítulo V. Segundo Deutsch e Journel (1992, p. 118), a simulação difere da krigagem em dois aspectos principais:
- enquanto os algoritmos de interpolação proporcionam a melhor estimativa local, na simulação as feições globais e as estatísticas dos valores simulados têm precedência sobre a exatidão local;
- Os algoritmos de krigagem fornecem um único valor no ponto não amostrado, ao passo que a simulação oferece vários modelos numéricos nessa localização.
Ainda neste capítulo, Deutsch e Journel (1992, p. 139-141) abordam a verificação da biGaussianidade dos dados, que serve para testar a hipótese de multiGaussianidade dos dados, com apresentação do programa bigauss que calcula o variograma teórico normal. Geralmente, faz-se a simulação sequencial Gaussiana sem levar em consideração a hipótese de multiGaussianidade dos dados.
Capítulo VI: Other Useful Programs
O Capítulo VI apresenta outros programas úteis, que são acessórios aos demais programas da biblioteca GSLIB.
Referência
DEUTSCH, Clayton V. JOURNEL, André G. GSLIB Geostatistical Software Library and User’s Guide. Nova Iorque. Oxford University Press. 1992. 340p.
Resenhas anteriores:
Retrospectiva da Geoestatística XI: Glossário da Geoestatística e Dicionário Multi-idiomas (Olea, 1991)
Retrospectiva da Geoestatística X: Uma Introdução à Geoestatística Aplicada (Isaaks e Srivastava, 1989)
Retrospectiva da Geoestatística IX: Manual de Geoestatística Avançada Aplicada à Estimativa de Reservas Minerais (David, 1988)
Leia a primeira resenha da série:
Retrospectiva da Geoestatística I: Tratado de Geoestatística Aplicada (Matheron)



Deixe um comentário
Você precisa fazer o login para publicar um comentário.