Na linguagem R, o array corresponde a essa coleção de matrizes. Como se mostra na Figura 7, o array é uma coleção de matrizes agrupadas no plano vertical. Em geologia e mineração, usa-se modelos tridimensionais de blocos para representação numérica de um depósito mineral.
Cada nível corresponde a um plano de cota constante, onde as linhas e colunas formam os blocos de minério. A Figura 7 ilustra uma matriz 3D como um empilhamento vertical de 8 matrizes de 10 linhas por 10 colunas.

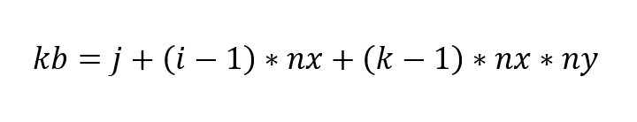
Nesse caso, pode-se trabalhar a matriz tridimensional como um vetor, onde o índice deve ser calculado por meio da seguinte fórmula:

Onde: kb é o número do bloco, nx é o número de colunas, ny o número de linhas da matriz bidimensional, i é a variável correspondente ao eixo Y, j é a mesma no eixo X e k é a variável que se move na vertical (níveis no plano vertical).
A Tabela 6 contém a definição do objeto array().

No exemplo a seguir, gera-se 24 números inteiros que são arranjados em três matrizes de 2 linhas por 4 colunas, como se pode verificar no console. Os valores estão organizados por colunas:

Para acessar um determinado elemento na estrutura de “array”, deve-se especificar os índices i, j e k. Sendo que i representa a linha, j a coluna e k a matriz. Veja os exemplos a seguir:

Muitas vezes, há vantagem de se trabalhar com um vetor invés de um array. Este Autor usa muito a estrutura de vetores para armazenamento de dados multidimensionais.
Aplicando o mesmo exemplo para o arranjo, pode-se escrever um código que armazena os 24 valores em um vetor. Para localização correta dos valores dentro do vetor, usa-se a fórmula (1). Os comandos a seguir mostram como se pode proceder para localização correta dos valores no vetor.

Para esse fim, definiu-se uma função que permite localizar o valor dentro da estrutura de array, a partir dos índices i, j e k.
Como se pode ver, os resultados são exatamente iguais.
Próximo artigo sobre Linguagem R
No próximo artigo, vamos ver como se trabalha com o objeto do tipo “matrix”, que sem dúvida é uma estrutura importante em álgebra linear e regressão linear múltipla.
Acesso o nosso blog para conferir o artigo anterior.

